Home > Solutions Center > Whitepapers > Motor Datasheets Proceed with Caution

Motor Datasheets: Proceed with Caution

Are you in the process of selecting a motor for a new application? Here are some tips for ensuring you are choosing the best fit for your system.

Motor Datasheets Proceed with Caution: visual breakdown of key spec considerations.

Know your Units

Motor parameter units for torque constant, current, and back-emf constant are not consistent across motion control manufacturers so motor comparisons should only be done after checking and converting to the same units.

Current can be rated for either sinusoidal (3-phase) or trapezoidal/six-step (2-phase) commutation. Older trap drives rate current in units ADC whereas newer sine drives rate current in units Apeak of sine or ARMS. While the derivation from phase-to-phase to three-phase sinusoidal is complex, the following equations can be used to quickly convert units.

Equation 01
Equation 02

Since torque constant (Kt) is inversely related to current, use the inverse of the equations above to convert from KtDC to Ktsine or KtRMS.

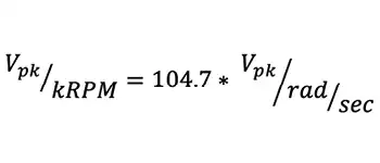
Back-emf Constant (Ke) is equivalent to the amount of back-emf voltage generated divided by the speed at which the motor is running. Typical units are Vpk/kRPM. However, some motor datasheets may rate Ke in VRMS/kRPM or Vpk/rad/sec. Use the following equation to convert units.

Equation 03

Note that Ke (Vpk/rad/sec) is equal to Kt (Nm/ADC). This can be used as a sanity check if motor parameter units are vague.

Look for Thermal Assumptions

Motor performance is limited by the allowable temperature rise of the windings as well as the thermal resistance of the system. Frameless motor manufacturers must make assumptions about the thermal properties of the motor and system to better reflect end-use motor performance on datasheets. Be sure to read the footnotes on datasheets for statements on temperature.

If your application requires thermal limits (e.g., reduced winding temperature for surgical robot joint or high ambient temperature due to system operating in harsh climate), the motor datasheet will likely reflect better performance than what can be achieved in your system. You can request datasheets with modified thermal assumptions to understand how the motor will perform in your unique application.

Understand Your Drive Limits

If a servo drive has been selected prior to motor sizing, the available bus voltage and continuous and peak current limits should be considered to ensure the motor can meet the operating points. For example, if the motor has a continuous current rating of 20Apeak of sine but the drive is only rated for 15Apeak of sine, the motor will be limited to 15Apeak of sine and won’t be able to reach the continuous torque rating as specified on the datasheet. Similarly, if the motor must reach the rated speed listed on the datasheet, the bus voltage must be equal to or greater than the design voltage of the motor winding. Performance curves can be modified to reflect the drive bus voltage and if the winding does not meet the speed requirement with the available bus voltage, the winding can be scaled to decrease Ke. Note that decreasing Ke also decreases Kt and voltage will be traded for current (i.e., higher speed for the same voltage equates to higher current for the same torque).

Check Motor Constant

Motor Constant (Km) is the best gauge of motor performance. It is equal to torque divided by the square root of resistive power losses in the motor.

Equation 04

If you are weighing a few motor options for your application, the motor with a higher Km will offer more torque for the same amount of power dissipated. Alternatively, the higher Km motor can achieve the same torque with less power dissipated, meaning the motor will run cooler. This is especially beneficial for medical applications with touch temperature limitations or high precision semiconductor systems that cannot tolerate thermal expansion.

Motor constant is not affected by scaling the winding. Therefore, if the motor is sized around Km, the winding can be scaled to meet speed or current requirements while ensuring the lowest possible resistive losses.

Keep in mind that motor constant is a static parameter that does not take into account the rotational (e.g., eddy current and hysteretic) losses of the motor. As speed increases, the ‘effective’ Km decreases. Learn more about this in our technical paper on effective Km. For high-speed applications, consult with a Solutions Engineer to confirm the motor can meet the operating point.

Need Support Selecting a Motor?

If you would like support with motor selection for your application, reach out to our Solutions Center to be put in touch with a Solutions Engineer.